中國科學院廣州地球化學研究所與中國科學院大學的李一凡、趙時真、馬建初、何坤、田樂樂、張干等學者,于《安全與環境工程》2025 年第 01 期發表了題為《河南省降雪中微納塑料的污染特征、沉降通量及其影響因素》的研究論文。

該研究聚焦微納塑料(MNPs)這一具有高排放量和潛在毒性的新型污染物,針對大氣沉降(包括降雪)作為 MNPs 進入地表環境的重要途徑展開探究。研究團隊選取我國人口密度較高的河南省,在重點城市采集 25 個雪水樣品,采用熱裂解氣相色譜 - 質譜(Py-GC-MS)聯用技術,對雪樣中 11 種 MNPs 進行測定,旨在分析河南省重點城市降雪中 MNPs 的污染特征、沉降通量,并結合氫氧同位素、水溶性離子及環境與社會指標,探討其濃度的影響因素。

研究結果顯示:
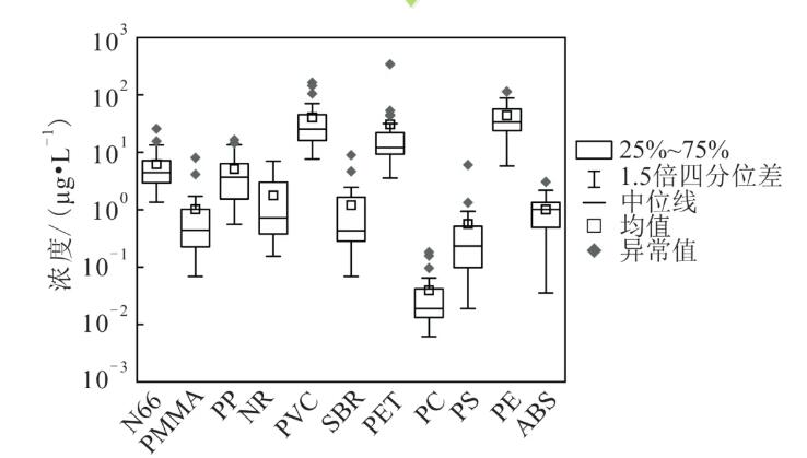
河南省降雪中∑11MNPs 濃度范圍為 29.9~543.8 μg/L,中值為 85.2 μg/L,主要成分為聚乙烯(PE)、聚氯乙烯(PVC)和聚對苯二甲酸乙二醇酯(PET),三者共占比 85.9%±5.3%。
11 種 MNPs 在不同城市的濃度及組成差異顯著,但城區與郊區無明顯差異。
結合降雪量數據估算,河南省每場雪的∑11MNPs 沉降通量為(422.7±402.6)μg/m²,沉降量達 8.6~273.8 噸,污染水平較高。
降雪中的 MNPs 主要來源于本地,其分布與人口數量、經濟活動、交通運輸及塑料制品產量密切相關,同時生物質燃燒和揚塵可能是潛在來源。
該研究深化了對 MNPs 在大氣環境中行為的認知,為 MNPs 污染的區域防治提供了科學依據。論文目前在網刊的閱讀次數為 209 次,下載次數 170 次,CNKI 下載次數 95 次,頁碼范圍為 9-20。研究受國家自然科學基金青年科學基金項目(42107120)、廣東省自然科學基金杰出青年項目(2023B1515020067)及中國科學院青年創新促進會會員項目(2022359)資助。
論文指導 >
SCI期刊推薦 >
論文常見問題 >
SCI常見問題 >